《ACS Publications》绿色赋能骨修复:基于蛋壳微粒的3D打印热塑性支架在骨组织工程中的应用研究

先导小贴士
在骨组织工程领域,寻找可持续、可定制、高性能的支架材料一直是核心问题。近日,来自美国马萨诸塞大学的研究团队(Gezek et al.)在ACS Applied Materials & Interfaces期刊发表文章,提出了一种新颖的策略:将农业废弃物——鸡蛋壳微粒(eggshell microparticles, ESP)与医用热塑性聚合物PCL复合,制备出结构精准、具备良好生物活性与力学性能的3D打印骨支架,为未来骨缺损修复提供了低成本、高可用性的新材料方案。

研究背景与创新点
1.骨缺损修复面临供体不足、并发症风险高等难题,传统自体/异体移植材料存在局限。
2.蛋壳作为农业废弃物中富含碳酸钙的天然生物陶瓷,具备良好的生物相容性和成骨诱导潜力。
3.研究团队创新性地将不同质量分数(0%、5%、15%、50%)的蛋壳微粒与PCL混合,通过无溶剂挤出型3D打印方式构建支架,系统评价其理化特性、生物相容性和成骨能力。
3D打印支架制备与结构特性
制备方式:将蛋壳煮沸灭菌后研磨筛分至平均粒径约50 μm,与PCL混合形成颗粒后用于3D打印。
支架厚度约1 mm,孔径分布一致。
ESP含量越高,支架颜色越白,形貌一致性越高。
SEM显示ESP呈不规则形状,粒径分布集中,且在支架中均匀分散。

3D打印ESP增强PCL支架的制造过程的图形摘要(Gezek et al. , 2024)
理化性能评估
化学稳定性
所有支架均保持PCL与ESP的特征峰,未出现新官能团,说明3D打印过程未改变材料本质结构。

ESP增强PCL支架的FTIR-ATR光谱,包括ESP-0、ESP-5、ESP-15和ESP-50条件和原始ESP (Gezek et al. , 2024)
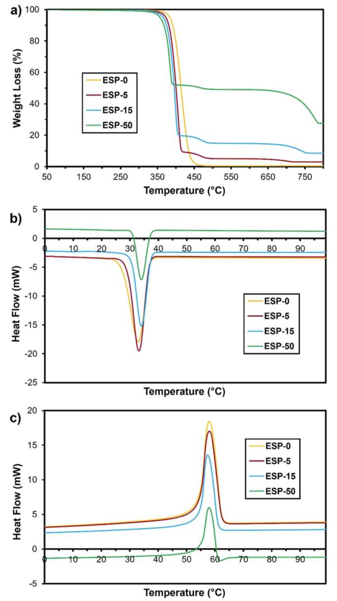
热稳定性
TGA显示支架在400°C前质量损失主要来自PCL降解,ESP部分作为残留矿物存在。
DSC数据显示加入ESP略提升熔点(Tm)与结晶温度(Tc),但较高浓度(50%)显著降低结晶度,推测微粒阻碍PCL链段规整排列。

原始和ESP增强复合PCL支架的热分析 (Gezek et al. , 2024)
晶体结构
PCL特征峰(21.3°、21.9°、23.6°)在加入ESP后逐渐减弱,ESP特征峰(30°)增强,体现出ESP引入后导致支架晶体结构趋于无序,有望提升生物活性。

分析了原始ESP以及ESP-0、ESP-5、ESP-15和ESP-50支架的XRD衍光图 (Gezek et al. , 2024)
力学性能与降解行为
压缩测试结果:
ESP-0(纯PCL)弹性模量最高
ESP-15力学性能与ESP-0接近,是性能与成骨潜力之间的平衡点
ESP-50力学性能下降明显,与支架孔隙率增加有关。

压缩测试的结果是松石和ESP强化PCL支架 (Gezek et al. , 2024)
加速降解实验:
ESP含量越高,支架降解越快;
ESP-15在96小时后仍保持结构完整,ESP-50则在48小时后结构崩解,表明ESP对PCL降解行为具有明显调控作用。

0至96小时间支架剩余质量的百分比(%)(Gezek et al. , 2024)
生物学性能验证
细胞粘附与增殖:
选用小鼠MC3T3-E1成骨前体细胞在支架表面培养14天。
激光共聚焦成像:所有支架均观察到细胞铺展良好,形成密集细胞层。
Alamar Blue检测:ESP-15支架在第7天增殖最活跃,第14天活性略有下降,提示可能进入分化阶段。

共聚焦显微镜和阿拉马尔蓝测定的成像结果用于分析细胞附着、分布和增殖 (Gezek et al. , 2024)
成骨相关基因表达(RT-qPCR)
RUNX2(早期标志物):ESP-15和ESP-50表达显著高于ESP-0。
ALP:ESP-15表达最强,表明其处于活跃分化阶段。
OCN(晚期标志物):ESP-50表达略高,提示部分细胞进入矿化期。

用ESP增强的3D打印支架培养的骨母细胞前细胞的成骨基因表达14天 (Gezek et al. , 2024)
总结与展望
Gezek等人的研究表明,基于蛋壳微粒的3D打印PCL复合支架可通过调控颗粒浓度实现对支架结构、力学性能、降解速率及成骨潜能的多维度调节。尤其是ESP-15浓度展现出结构稳定性与成骨性能的最佳平衡,具有较高转化潜力。本研究不仅探索了农业废弃物的高值转化,也为骨修复支架材料的个性化设计与绿色制造提供了新思路。
关于赛箔生物
赛箔(上海)智能科技有限公司是一家专注于研发生物制造技术和组织工程产品的高新技术企业,成立于2021年2月。自主研发多种已经获得国家发明专利授权的生物3D打印技术和装备、生物材料、体外细胞和组织培养技术、组织处理和培养装置。基于核心技术开发多种器官组织模型和相应的检测评价服务,为基础研究、新药研发、精准医疗、再生医学等领域提供生物3D打印全产业链解决方案,实现了从设备到产品到服务的全面覆盖。
在肿瘤相关领域,赛箔与合作者共同研发基于生物3D打印技术构建的肿瘤微组织(PDT),涵盖十余个癌种,包括高发肿瘤、难治肿瘤、妇科肿瘤和儿童肿瘤,培养成功率超过了90%。通过近千例样本研究,证实PDT与患者组织具有高度一致的分子特征和药物敏感性,1-2周即可获得准确的药敏检测结果,为治疗赢取宝贵时间,并且可为新药研发企业提供药效评价、入组标准建立、适应症筛选等服务。在再生相关领域,赛箔已建立多种3D组织工程皮肤,包括表皮模型、全层皮肤模型、黑素皮肤模型等,并相应开发多种体外功效测试方法。

肺癌

宫颈癌

结直肠癌

卵巢癌

脑胶质瘤

神经母细胞瘤

黑色素皮肤模型

全层皮肤模型

表皮模型
